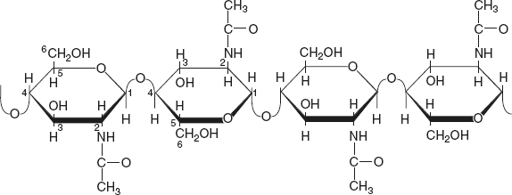
Chitin is made up of N-acetyl D-glucosamine linked by α(1 → 4) glycosidic linkages (Figure 2.18). The structure is very similar to cellulose, except that an acetylated amino group is present in the C-2 position.

Figure 2.18 Structure of Chitin
Chitin is made up of N-acetyl D-glucosamine linked by α(1 → 4) glycosidic linkages (Figure 2.18). The structure is very similar to cellulose, except that an acetylated amino group is present in the C-2 position.

Figure 2.18 Structure of Chitin
Leave a Reply