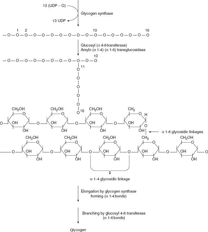
When the chain is lengthened to a minimum of eleven glucose residues, the branching enzyme amylo (α 1-4, α 1-6) transglucosidase (Figure 8.12) (glucosyl α 4, 6-transferase) transfers a small fragment of five to eight glucose residues from the non-reducing end of the glycogen chain by breaking α 1-4 linkage to another glucose residue, where it is linked by α 1-6 bond. This leads to the formation of a new non-reducing end, besides the existing one. Glycogen is further elongated and branched by glycogen synthase and glucosyl α-4, 6 transferase. (refer Figure 8.13)

Figure 8.12 Mechanism of Branching Step in Glycogenesis


Figure 8.13 Biosynthesis of Glycogen
Leave a Reply