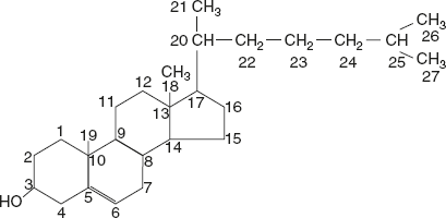
The molecular formula of cholesterol is C27 H45 OH. It is monounsaturated tetracyclic alcohol. The structure of cholesterol, as proposed by Windaus, has the following characteristic features:

- Cyclopentanoperhydrophenanthrene ring system
- An aliphatic side chain attached to C17
- An OH group attached to C3
- A double bond between C5 and C6
- Two methyl groups; one attached at C10 and other at C13
Leave a Reply