7-DEHYDROCHOLESTEROL

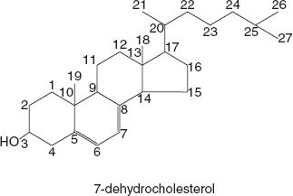
This is an important sterol present in the skin. It has one more double bond at C7 – C8. It has only one H atom at C7 – C6 and none at C8. It is converted to vitamin D when irradiated with UV. Its structure is as follows:

ch4-ufig29

Leave a Reply

Your email address will not be published. Required fields are marked *