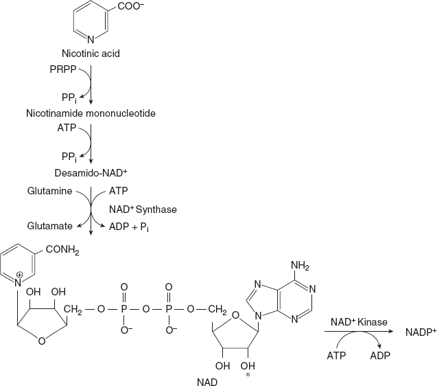
The coenzymes NAD+ and NADP+ involve in a variety of oxidation-reduction reactions. They accept hydride ion (hydrogen atom and one electron H−) and undergo reduction in the pyridine ring. This results in the neutralisation of positive charges. The nitrogen atom and the fourth carbon atom of nicotinamide ring participate in the reaction. While the atom of hydrogen is accepted by the coenzyme, the other ion is released into the surrounding medium. This reaction is reversed when NADH is oxidised to NAD+. NAPD+ also functions like NAD+ in oxidation-reduction reactions.


Leave a Reply