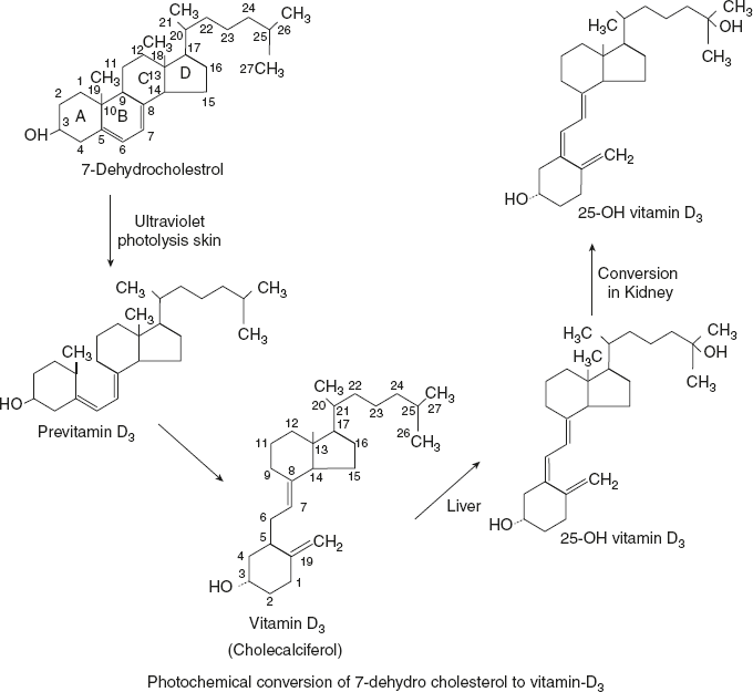
7-Dehydro cholesterol is an intermediate in the pathway of cholesterol biosynthesis and is converted in the skin to previtamin-D3 by irradiation with UV rays of the sun. Previtamin-D3 is converted thermally and slowly to the double bond isomers by a nonenzymatic reaction to the biologically active vitamin, cholecalciferol (vitamin D3).

ch10-ufig33

Leave a Reply

Your email address will not be published. Required fields are marked *