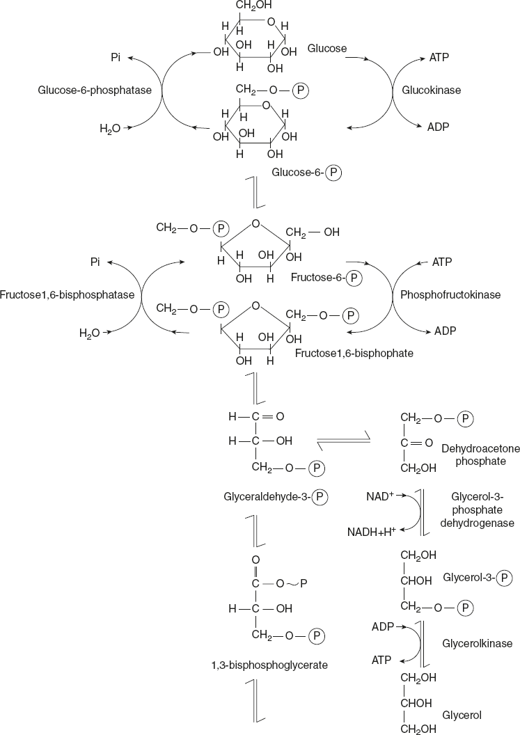
Glucose 6-phosphatase catalyses the conversion of glucose 6-phosphate to glucose.


Figure 8.27 Pathway of Gluconeogenesis and Glycolysis in Liver

The presence or absence of this enzyme in a tissue determines whether the tissue is capable of contributing glucose to the blood or not. It is mostly present in liver and kidney but not in muscle, brain, and adipose tissue.
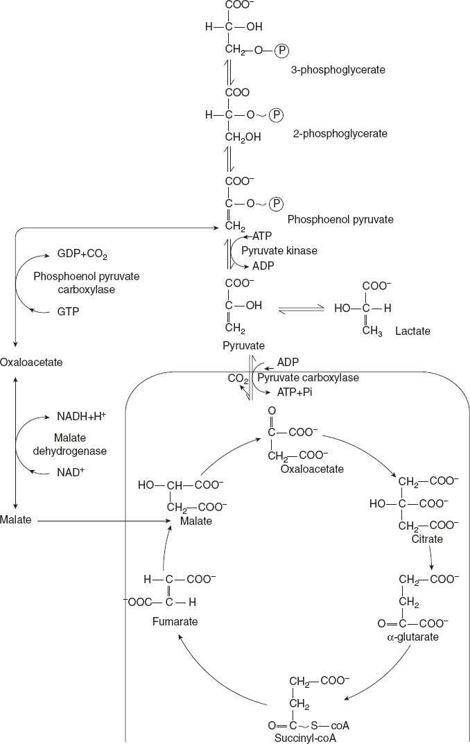
Overall summary of gluconeogenesis:-
Leave a Reply