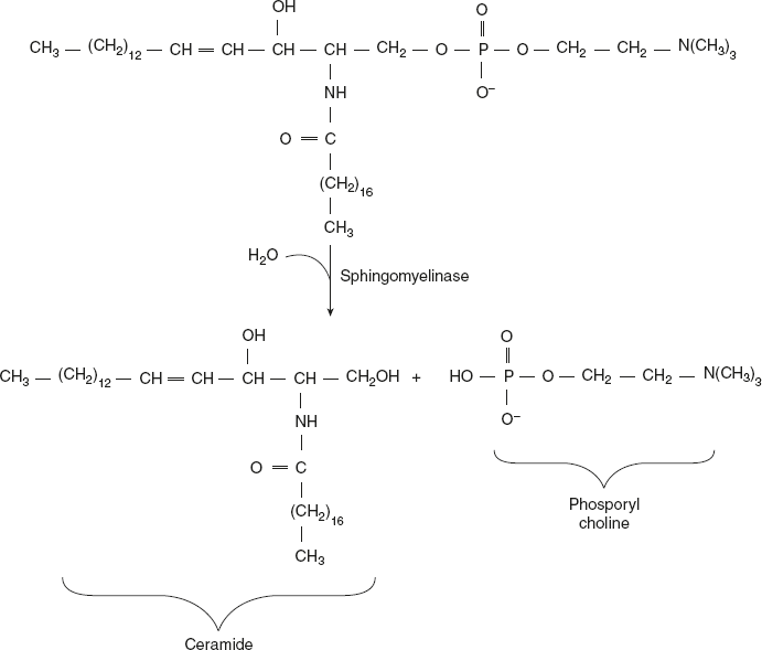
Sphingomyelin is degraded by lysosomal enzyme sphingomyelinase to form ceramide and phosphorylcholine.
Ismail Ishaq
Your email address will not be published. Required fields are marked *
Comment *
Name *
Email *
Website
Save my name, email, and website in this browser for the next time I comment.
Leave a Reply