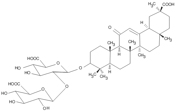
Glycyrrhizin or glycyrrhizinic acid, (3β, 20β)–20-Carboxy-11-oxo-30-norolean-12-en-3-yl, 2-O-β-D-glucopyranosyl–α-D-glucopyranosiduronic acid, has molecular formula C42H62O16. The sweet taste of liquorice is due to glycyrrhizin, which is reported to be 30 to 50 times sweeter than sucrose. A sweet, white, crystalline powder, its sweetness is slow in onset and tends to linger. It is odourless and has a characteristic liquorice taste described as ‘cooling’. Its sweetness is relatively heat stable. Upon hydrolysis glycyrrhizin loses its sweet taste and forms glycyrrhetenic acid and two molecules of glucuronic acid. Glycyrrhizin is freely soluble in hot water, alcohol and practically insoluble in ether. The aglycone acid form is not very water soluble but its ammonium salt is water soluble at pH greater than 4.5. Glycyrrhizin is also obtained as colourless crystals, melting at 205°C and imparts a sweet taste to water in a dilution of 1 in 20,000.

Glycyrrhizin being incompatible with acids, ammonium glycyrrhizinate is used as a substitute for flavouring.
Leave a Reply