Ester formation

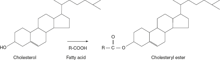
The carboxyl group condenses with alcohol to form esters. Triglyceride is an ester of fatty acid with glycerol. Cholesterol ester is formed by esterification of fatty acid with cholesterol. They are present in blood.

ch4-ufig5

The carboxyl group may be reduced to the corresponding aldehydes and alcohols in the presence of hydrogen at high temperature.


Leave a Reply

Your email address will not be published. Required fields are marked *