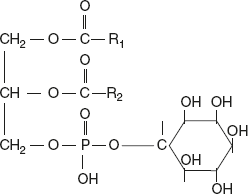
It is found to occur in brain tissues, nervous tissues, soya bean, and wheatgerm. Inositol is an alcohol and a cyclic compound hexahydroxycyclohexane with molecular formula C6H12O6.

Its structure is as follows:

ch4-ufig14

Leave a Reply

Your email address will not be published. Required fields are marked *