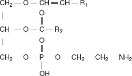
Plasmalogens are present in brain, nervous tissue, muscles, and mitochondria.
Faris Khalil
Your email address will not be published. Required fields are marked *
Comment *
Name *
Email *
Website
Save my name, email, and website in this browser for the next time I comment.
Leave a Reply