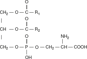
This compound contains amino acid serine instead of ethanolamine. It is found in brain tissues; traces are detected in blood also. Its structure is as follows:

This compound contains amino acid serine instead of ethanolamine. It is found in brain tissues; traces are detected in blood also. Its structure is as follows:

Leave a Reply