SYNTHESIS OF CREATINE

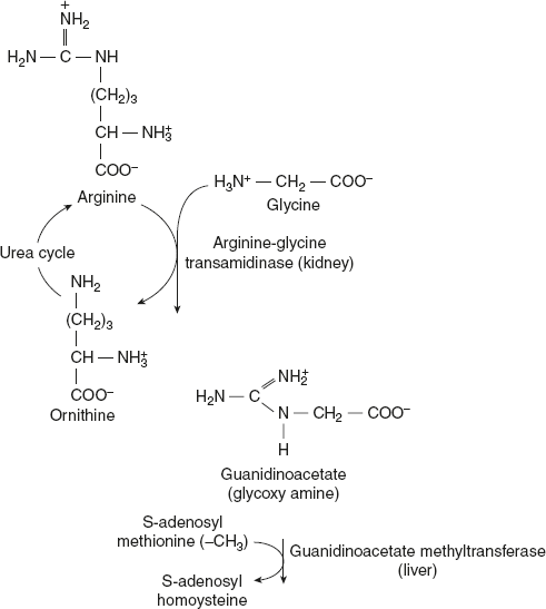
Creatine is present in the tissues (muscle, brain, blood, and so on) as the high energy compound, phosphocreatine, and as free creatine. Three amino acids – glycine, arginine, and methionine – are required for the formation of creatine. The first reaction occurs in kidney. It involves the transfer of guanidine group of arginine to glycine, catalysed by arginine-glycine transmidinase to produce guanidoacetate. S-adenosylmethionine donates methyl group to glycocyamine to produce creatine. This reaction occurs in liver. Creatine is reversibly phosphorylated to phosphocreatine by creatine kinase. It is stored in muscle as high energy phosphate. Creatinine is an anhydride of creatine. It is formed by spontaneous cyclisation of creatine or creatinine in human serum and urine.

ch9-ufig25
ch9-ufig26

Leave a Reply

Your email address will not be published. Required fields are marked *